문제 풀이 정리
Given a linked list, reverse the nodes of a linked list k at a time and return its modified list.
k is a positive integer and is less than or equal to the length of the linked list. If the number of nodes is not a multiple of k then left-out nodes, in the end, should remain as it is.
You may not alter the values in the list's nodes, only nodes themselves may be changed.
Example 1:

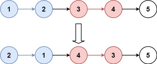
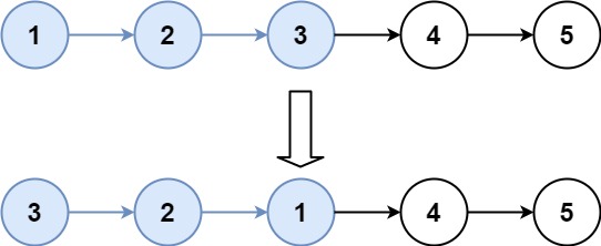
Input: head = [1,2,3,4,5], k = 2
Output: [2,1,4,3,5]
Example 2:

Input: head = [1,2,3,4,5], k = 3
Output: [3,2,1,4,5]
Example 3:
Input: head = [1,2,3,4,5], k = 1
Output: [1,2,3,4,5]
Example 4:
Input: head = [1], k = 1
Output: [1]
Constraints:
- The number of nodes in the list is in the range sz.
- 1 <= sz <= 5000
- 0 <= Node.val <= 1000
- 1 <= k <= sz
코드
# Definition for singly-linked list.
# class ListNode:
# def __init__(self, val=0, next=None):
# self.val = val
# self.next = next
class Solution:
def reverseKGroup(self, head: ListNode, k: int) -> ListNode:
num_list = []
while head.next:
num_list.append(head.val)
head = head.next
num_list.append(head.val)
reverse_num = len(num_list) // k
start = 0
end = k
modi_list = []
for _ in range(reverse_num):
for index in range(end-1, start-1, -1):
modi_list.append(num_list[index])
if end+k > len(num_list):
break
start += k
end += k
modi_list.extend(num_list[end:len(num_list)])
head = ListNode(modi_list[0], None)
for index in range(1, len(modi_list)):
node = ListNode(modi_list[index], None)
temp_node = head
while temp_node.next != None:
temp_node = temp_node.next
temp_node.next = node
return head
문제 넋두리
어려워 보이지 않아서 도전쓰 & 성공~
영어 문제 이제 익숙해지는 건가?

응 아니다...
입력으로 주어지는 k 만큼 뒤집어 주면되는 문제, 별로 어렵지 않았지만
아직 파이썬 LinkedList 문제의 경우 next 연결 시켜주는게 헷갈려서 헤맸다.
'algorithm > leetcode' 카테고리의 다른 글
| Car Pooling [leetcode] (0) | 2022.01.07 |
|---|---|
| Intersection of Two Arrays II [leetcode] (0) | 2021.09.18 |
| Find Peak Element [LeetCode] (0) | 2021.07.14 |
| Isomorphic Strings [LeetCode] (0) | 2021.07.12 |
| Find Median from Data Stream [LeetCode] (0) | 2021.07.12 |
댓글